Distancia que recorre un electrón dentro de un campo eléctrico hasta detenerse (6496)

, por F_y_Q

Un electrón es proyectado dentro de un campo eléctrico uniforme, de intensidad 100 N/C, con una velocidad inicial de v_0 = 5\cdot 10^6\ \textstyle{m\over s} según el eje X, en la dirección del campo eléctrico. ¿Cuánto se desplazará el electrón hasta detenerse?

Datos: m_{e^-}  = 9.1\cdot 10^{-31}\ kg ; q_{e^-} = 1.6\cdot 10^{-19}\ C

P.-S.

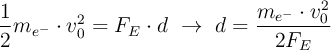
El electrón se detendrá cuando el trabajo eléctrico realizado por el campo eléctrico sea igual a la energía cinética inicial del electrón, que se mueve contra la fuerza del campo:

\color[RGB]{2,112,20}{\bm{E_C(i) = W_E}}



\frac{1}{2}m_{e^-}\cdot v_0^2 = F_E\cdot d\ \to\ d = \frac{m_{e^-}\cdot v_0^2}{2F_E}

d = \frac{9.1\cdot 10^{-31}\ kg\cdot (5\cdot 10^6)^2\ \frac{m^2}{s^2}}{1.6\cdot 10^{-19}\ \cancel{C}\cdot 100\ \frac{N}{\cancel{C}}} = \fbox{\color[RGB]{192,0,0}{\bf 1.42\ m}}