Distancia que asciende un cuerpo por un plano inclinado sin rozamiento 0001

, por F_y_Q

Un cuerpo de 5 kg se encuentra en la parte inferior de un plano inclinado 10^o, con una velocidad inicial de 100 cm/s. Si despreciamos el rozamiento, ¿qué distancia recorrerá por el plano inclinado antes de deternerse?

P.-S.

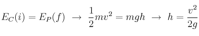
La forma más simple de hacer este ejercicio es a partir del principio de conservación de la energía mecánica. La energía cinética inicial tiene que ser igual a la energía potencial final:
E_C(i) = E_P(f)\ \to\ \frac{1}{2}mv^2 = mgh\ \to\ h = \frac{v^2}{2g}
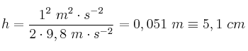
Sustituimos la velocidad, pero expresada en el SI para que sea compatible con la unidad de la aceleración de la gravedad:
h = \frac{1^2\ m^2\cdot s^{-2}}{2\cdot 9,8\ m\cdot s^{-2}} = 0,051\ m\equiv 5,1\ cm
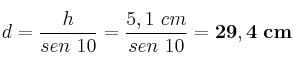
La altura que sube en el plano son esos 5,1 cm pero la distancia que recorre es:

d = \frac{h}{sen\ 10} = \frac{5,1\ cm}{sen\ 10} = \bf 29,4\ cm