Distancia para que la fuerza entre dos masas se reduzca un tercio (7082)

, por F_y_Q

Se tienen dos masas, una de 80 kg y otra de 60 kg, separadas en el vacío por una distancia de 0.25 m. ¿Cuál debe ser la distancia necesaria para que la fuerza gravitatoria con que interactúan se reduzca en un tercio?

P.-S.

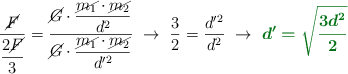
Si partes de la ley de gravitación universal e impones la condición de que la fuerza se reduzca a los dos tercios de la fuerza inicial puedes resolver el ejercicio sin necesidad de calcular el valor de la fuerza. Es necesario que seas hábil al trabajar con ecuaciones. Escribes las fuerzas en cada caso y simplificas:

\frac{\cancel{F}}{\dfrac{2\cancel{F}}{3}} = \frac{\cancel{G}\cdot \dfrac{\cancel{m_1}\cdot \cancel{m_2}}{d^2}}{\cancel{G}\cdot \dfrac{\cancel{m_1}\cdot \cancel{m_2}}{d^{\prime}^2}}\ \to\ \frac{3}{2} = \frac{d^{\prime}^2}{d^2}\ \to\ \color[RGB]{2,112,20}{\bm{d^{\prime} = \sqrt{\frac{3d^2}{2}}}}

Solo te queda calcular el valor de la nueva distancia:

d^{\prime} = \sqrt{\frac{3}{2}}\cdot 0.25\ m = \fbox{\color[RGB]{192,0,0}{\bf 0.31\ m}}