Distancia entre dos cuerpos para atracción gravitatoria 0001

, por F_y_Q

¿A qué distancia deben estar separados dos cuerpos de 80 kg de masa cada uno para que la fuerza de atracción gravitatoria entre los cuerpos sea de 1 N?

P.-S.

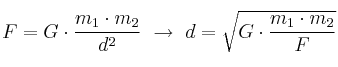
Despejamos la distancia a partir de la Ley de Gravitación Universal:

F = G\cdot \frac{m_1\cdot m_2}{d^2}\ \to\ d = \sqrt{{G\cdot \frac{m_1\cdot m_2}{F}}

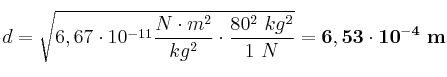
Sustituimos:

d = \sqrt{{6,67\cdot 10^{-11}\frac{N\cdot m^2}{kg^2}\cdot \frac{80^2\ kg^2}{1\ N}}} =\bf 6,53\cdot 10^{-4}\ m