Distancia entre dos ciudades y velocidad necesaria para un tiempo dado (4254)

, por F_y_Q

Un ciclista viaja a una velocidad constante de 17.5 km/h desde Manta a Portoviejo y emplea 2 horas en realizar el recorrido. ¿Cuál es la distancia entre las dos ciudades? ¿Cuál debe ser su velocidad para regresar al punto de partida en la mitad del tiempo empleado inicialmente?

P.-S.

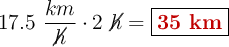
Dado que queremos calcular la distancia entre ambas ciudades, y si nos fijamos en las unidades que acompañan a las magnitudes, podemos multiplicar la velocidad y el tiempo y obtendremos unidad de longitud:

17.5\ \frac{km}{\cancel{h}}\cdot 2\ \cancel{h} = \fbox{\color[RGB]{192,0,0}{\bf 35\ km}}


Ahora debemos obtener una velocidad, por lo que dividiremos la distancia entre las ciudades y el tiempo en el que queremos que cubra el trayecto, para obtener como unidad km/h:

v = \frac{d}{t} = \frac{35\ km}{1\ h} = \fbox{\color[RGB]{192,0,0}{\bm{35\ \frac{km}{h}}}}


(Este segundo apartado se podría haber hecho de manera inmediata. Si queremos que el tiempo empleado sea la mitad, es necesario que la velocidad sea el doble).