Distancia entre dos cargas del mismo signo para que se repelan la mitad y campo en el punto medio (6562)

, por F_y_Q

Dos cargas eléctricas de 12 \ \mu C y 64 \ \mu C respectivamente están situadas en el vacío a una distancia de 50 cm. Determina:

a) La distancia a la que deberíamos colocar las cargas para que la fuerza con que se repelen se reduzca a la mitad.

b) El campo eléctrico en el punto medio del segmento que une las dos cargas.

Dato: K = 9\cdot 10 ^9\ \textstyle{N\cdot m^2\over C^2}

P.-S.

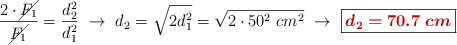
a) Para poder hacer el cálculo de esta nueva distancia basta con comparar las dos fuerzas electrostáticas de repulsión:

\frac{F_1}{F_2} = \frac{\cancel{K}\cdot \frac{\cancel{q_1}\cdot \cancel{q_2}}{d_1^2}}{\cancel{K}\cdot \frac{\cancel{q_1}\cdot \cancel{q_2}}{d_2^2}}\ \to\ \frac{F_1}{F_2}  = \frac{d_2^2}{d_1^2}

Como la relación entre las fuerzas es que F_2 = \textstyle{F_1\over 2} puedes sustituir y despejar:

\frac{2\cdot  \cancel{F_1}}{\cancel{F_1}} = \frac{d_2^2}{d_1^2}\ \to\ d_2 = \sqrt{2d_1^2} = \sqrt{2\cdot 50^2\ cm^2}\ \to\ \fbox{\color[RGB]{192,0,0}{\bm{d_2 = 70.7\ cm}}}


b) En primer lugar debes hacer un esquema de la situación:

(Clicando en la miniatura puedes ver el esquema con más detalle).
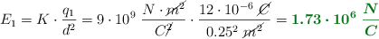
Al ser cargas positivas, los campos tienden a alejarse de las cargas. Los módulos de cada campo son:

E_1 = K\cdot \frac{q_1}{d^2} = 9\cdot 10^9\ \frac{N\cdot \cancel{m^2}}{C\cancel{^2}}\cdot \frac{12\cdot 10^{-6}\ \cancel{C}}{0.25^2\ \cancel{m^2}} = \color[RGB]{2,112,20}{\bm{1.73\cdot 10^6\ \frac{N}{C}}}

E_2 = K\cdot \frac{q_2}{d^2} = 9\cdot 10^9\ \frac{N\cdot \cancel{m^2}}{C\cancel{^2}}\cdot \frac{64\cdot 10^{-6}\ \cancel{C}}{0.25^2\ \cancel{m^2}} = \color[RGB]{2,112,20}{\bm{9.22\cdot 10^6\ \frac{N}{C}}}

Pero el campo es una magnitud vectorial, por lo que debes tener en cuenta que, al tener sentidos contrarios, el campo total será la diferencia entre ambos campos. Su dirección será horizontal y su sentido el del campo de mayor módulo:

E_T = E_2 - E_1 = (9.22\cdot 10^6 - 1.73\cdot 10^6)\ \frac{N}{C} = \fbox{\color[RGB]{192,0,0}{\bm{7.49\cdot 10^6\ \frac{N}{C}}}}


Expresado como vector, y considerando que el sentido hacia la izquierda es negativo, sería:

\fbox{\color[RGB]{192,0,0}{\bm{\vec{E}_T = - 7.49\cdot 10^6\ \vec i}}}}