Distancia del fulcro a la fuerza resistente en una palanca (6543)

, por F_y_Q

Si queremos desplazar una roca que pesa 25 000 N que está obstruyendo una carretera y disponemos de una palanca de 6.5 m, ¿a qué distancia de la roca debemos poner el fulcro si somos capaces de hacer una fuerza motora de 8 500 N?

P.-S.

Si aplicas la ley de la palanca y calculas la ventaja mecánica:

v_M = \frac{F_R}{F_M} = \frac{l_M}{l_R}\ \to\ \frac{l_M}{l_R} = \frac{25\ 000\ \cancel{N}}{8\ 500\ \cancel{N}} = \color[RGB]{0,112,192}{\bf 2.94}

La relación entre distancia motora y la resistente es:

\frac{l_M}{l_R} = 2.94\ \to\ \color[RGB]{0,112,192}{\bm{l_M = 2.94l_R}}

Además sabes que la suma de ambas distancias es 6.5 m, por lo que puedes escribir la ecuación como:

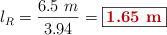
l_M + l_R = 6.5\ \to\ (2.94l_R) + l_R = 6.5\ \to\ 3.94l_R = 6.5

Solo te queda despejar y calcular la distancia resistente:

l_R = \frac{6.5\ m}{3.94} = \fbox{\color[RGB]{192,0,0}{\bf 1.65\ m}}


Puedes descargar el enunciado y la resolución del problema en formato EDICO si lo necesitas.