Dilución y concentración molar 0002

, por F_y_Q

¿Qué volumen debes tomar de una disolución 2 M de ácido nítrico para preparar 100 mL de otra disolución 0,5 M del mismo ácido?

P.-S.

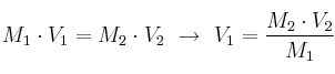
Vamos a aplicar una fórmula que permite hacer este tipo de problemas en un único paso. Llamaremos 1 a la disolución de partida (2 M) y 2 a la disolución final (100 mL y 0,5 M):

M_1\cdot V_1 = M_2\cdot V_2\ \to\ V_1 = \frac{M_2\cdot V_2}{M_1}


Solo tenemos que sustituir:

V_1 = \frac{0,5\ M\cdot 100\ mL}{2\ M} = \bf 25\ mL