Dilución de una disolución molar 0002

, por F_y_Q

¿Qué concentración debe tener una disolución de ácido fluorhídrico (HF) para que con 60 mL de ella se puedan preparar 200 mL del mismo ácido en una concentración de 0,15 mol/litro?

P.-S.

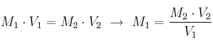
La manera más simple de hacer el ejercicio es tener en cuenta que los moles de soluto en ambas disoluciones serán los mismos, por lo tanto se debe cumplir que:

M_1\cdot V_1 = M_2\cdot V_2\ \to\ M_1 = \frac{M_2\cdot V_2}{V_1}


Sustituimos:

M_1 = \frac{0,15\ M\cdot 200\ mL}{60\ mL} = \bf 0,5\ M