Dilución de una disolución 2 molar de hidróxido de potasio

, por F_y_Q

Calcula el volumen de una disolución de KOH (2 M) que se necesita preparar a 250 mL de solución 0,6 N.

P.-S.

Empezamos por calcular los moles que necesitamos para nuestra disolución objetivo. Como se trata de una base que tiene un único grupo OH^-, coinciden la normalidad y la molaridad de la disolución, es decir, necesitaremos 0,6 mol de KOH por cada litro de disolución:
\frac {0,6\mol\ KOH}{10^3\ \cancel{mL}}\cdot 250\ \cancel{mL} = 0,15\ mol\ KOH
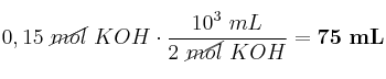
Ahora calculamos el volumen de la disolución inicial que contiene los moles que acabamos de obtener:

0,15\ \cancel{mol}\ KOH\cdot \frac{10^3\ mL}{2\ \cancel{mol}\ KOH} = \bf 75\ mL