Diferentes formas de expresar la concentración 0001

, por F_y_Q

Determina la molaridad, normalidad y molalidad de una disolución de ácido sulfúrico al 30 por ciento en masa y densidad 1,4 g/mL, sabiendo la que la masa molecular del ácido es 98 g/mol.

P.-S.

Para hacer el problema vamos a considerar un litro de la disolución, de esa manera podemos hacer el cálculo de la molaridad y la normalidad rápidamente. Tenemos en cuenta los datos de concentración y densidad para calcular la masa de ácido:

10^3\ mL\ D\cdot \frac{1,4\ g\ D}{1\ mL\ D}\cdot \frac{30\ g\ H_2SO_4}{100\ g\ D} = 420\ g\ H_2SO_4


Si tenemos en cuenta la masa molecular del ácido:

420\ g\ H_2SO_4\cdot \frac{1\ mol\ H_2SO_4}{98\ g\ H_2SO_4} = 4,29\ mol\ H_2SO_4


El litro de disolución representa una masa de:

10^3\ mL\ D\cdot \frac{1,4\ g\ D}{1\ mL\ D} = 1400\ g\ D


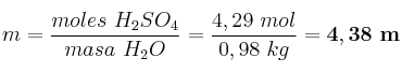
Eso quiere decir que habría 420 g de ácido y 980 g de agua en la disolución. La molalidad será:

m = \frac{moles\ H_2SO_4}{masa\ H_2O} = \frac{4,29\ mol}{0,98\ kg} = \bf 4,38\ m


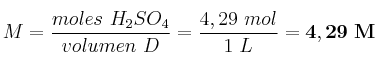
La molaridad sería:

M = \frac{moles\ H_2SO_4}{volumen\ D} = \frac{4,29\ mol}{1\ L} = \bf 4,29\ M


La normalidad se calcula a partir de la masa equivalente, que es la masa molecular pero dividida por el número de hidrógenos que tiene el ácido. En ese caso la masa equivalente sería la mitad que la masa molecular, es decir, que habría el doble de equivalentes que de moles. La normalidad sería:

M = \frac{equiv\ H_2SO_4}{volumen\ D} = \frac{8,58\ equiv}{1\ L} = \bf 8,58\ N