Diferencia de potencial entre dos puntos y trabajo para trasladar una carga (6583)

, por F_y_Q

Calcula para el sistema de cargas de la figura:

a) La diferencia de potencial entre los puntos A y B.

b) El trabajo que debemos realizar para trasladar una carga de 3 \ \mu C desde A hasta B.

Dato: K  = 9\cdot 10^9\ \textstyle{N\cdot m^2\over C^2}

P.-S.

El potencial en cada punto sigue la ecuación:

V = K\cdot \frac{q}{d}

Para ello es necesario conocer las distancias de cada carga a cada uno de los puntos. La diagonal del cuadrado en el que están dispuestas las cargas y puntos es:

d = \sqrt{l^2 + l^2} = \sqrt{(0.5^2 + 0.5^2)\ m^2} = \color[RGB]{2,112,20}{\bf 0.7\ m}

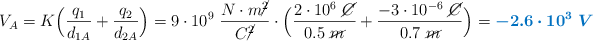
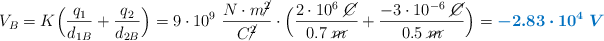
a) Calculas el potencial en cada punto y luego haces la diferencia:

V_A = K\Big(\frac{q_1}{d_{1A}} + \frac{q_2}{d_{2A}}\Big) = 9\cdot 10^9\ \frac{N\cdot m\cancel{^2}}{C\cancel{^2}}\cdot \Big(\frac{2\cdot 10^6\ \cancel{C}}{0.5\ \cancel{m}} + \frac{-3\cdot 10^{-6}\ \cancel{C}}{0.7\ \cancel{m}}\Big) = \color[RGB]{0,112,192}{\bm{-2.6\cdot 10^3\ V}}

V_B = K\Big(\frac{q_1}{d_{1B}} + \frac{q_2}{d_{2B}}\Big) = 9\cdot 10^9\ \frac{N\cdot m\cancel{^2}}{C\cancel{^2}}\cdot \Big(\frac{2\cdot 10^6\ \cancel{C}}{0.7\ \cancel{m}} + \frac{-3\cdot 10^{-6}\ \cancel{C}}{0.5\ \cancel{m}}\Big) = \color[RGB]{0,112,192}{\bm{-2.83\cdot 10^4\ V}}

La diferencia de potencial es:

\Delta V_{AB} = V_B - V_A = [-2.83\cdot 10^4 - (-2.6\cdot 10^3)]\ V = \fbox{\color[RGB]{192,0,0}{\bm{-2.57\cdot 10^4\ V}}}


b) El trabajo para trasladar la carga es:

W_{A\to B} = -q\cdot \Delta V_{AB} = q\cdot (V_A - V_B) = 3\cdot 10^{-6}\ C\cdot 2.57\cdot 10^4\ V = \fbox{\color[RGB]{192,0,0}{\bm{7.71\cdot 10^{-2}\ J}}}