Diferencia de potencial entre dos puntos con dos cargas de signo opuesto (7483)

, por F_y_Q

Se tienen dos cargas eléctrica ubicadas sobre una misma recta q_1 = 6\ \mu C y q_2 = -6\ \mu C y separadas 12 cm como se muestra en la figura.

Calcula:

a) El potencial en el punto A.

b) El potencial en el punto B.

c) La diferencia de potencial V_B - V_A.

P.-S.

El potencial eléctrico es un escalar y depende del signo de la carga eléctrica y de la distancia al punto que consideres. La ecuación que vas a usar es:

\color[RGB]{2,112,20}{\bm{V = K\cdot \frac{q}{d}}}

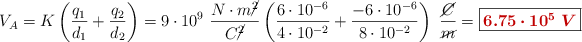
a) Aplicas la ecuación anterior para cada carga, pudiendo sacar K como factor común:

V_A = K\left(\frac{q_1}{d_1} + \frac{q_2}{d_2}\right) = 9\cdot 10^9\ \frac{N\cdot m\cancel{^2}}{C\cancel{^2}}\left(\frac{6\cdot 10^{-6}}{4\cdot 10^{-2}} + \frac{-6\cdot 10^{-6}}{8\cdot 10^{-2}}\right)\ \frac{\cancel{C}}{\cancel{m}} = \fbox{\color[RGB]{192,0,0}{\bm{6.75\cdot 10^5\ V}}}


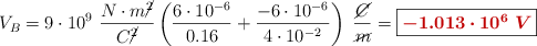
El potencial en el punto B lo calculas de manera análoga a la anterior, considerando ahora las distancias al punto B:

V_B = 9\cdot 10^9\ \frac{N\cdot m\cancel{^2}}{C\cancel{^2}}\left(\frac{6\cdot 10^{-6}}{0.16} + \frac{-6\cdot 10^{-6}}{4\cdot 10^{-2}}\right)\ \frac{\cancel{C}}{\cancel{m}} = \fbox{\color[RGB]{192,0,0}{\bm{-1.013\cdot 10^6\ V}}}


c) La diferencia de potencial la calculas haciendo la diferencia entre ambos valores:

V_B - V_A = (-1.013\cdot 10^6 - 6.75\cdot 10^5)\ V = \fbox{\color[RGB]{192,0,0}{\bm{-1.69\cdot 10^6\ V}}}