Diferencia de concentración de OH a partir del pH 0001

, por F_y_Q

La sangre tiene un pH de 7,4 y la leche de magnesia, un antiácido común para el malestar estomacal, tiene un pH de 10,4. ¿Cuál es la diferencia de pH entre estas dos bases? Compara la concentración de iones hidróxido de estas dos sustancias.

P.-S.

La diferencia de pH sería la diferencia entre los valores dados:
\Delta pH = 10,4 - 7,4 = \bf 3
Podemos calcular las concentración de H^+ asociada a la diferencia de pH:
\Delta [H^+] = 10^{-3}\ M
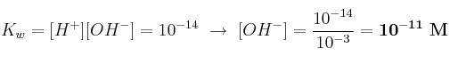
Para poder calcular la concentración de OH^- debemos tener en cuenta el producto iónico del agua:

K_w = [H^+][OH^-] = 10^{-14}\ \to\ [OH^-] = \frac{10^{-14}}{10^{-3}} = \bf 10^{-11}\ M