Determinación de la masa de una piedra sumergida (3629)

, por F_y_Q

Una piedra de densidad 2.6\ \textstyle{kg\over m^3} se sumerge en agua experimentando una fuerza resultante de 2 500 N. Calcula la masa de la piedra.

P.-S.

El peso de la piedra es el producto de su masa por la aceleración de la gravedad (m\cdot  g), mientras que el empuje será el peso del líquido que desplaza, es decir, la masa del líquido por la aceleración de la gravedad. La clave está en escribir estos datos en función de los datos que te dan:

\left E = m_l\cdot g = \rho_l\cdot V_p\cdot g \atop V_p = \frac{m_p}{\rho_p} \right \}\ \to\ \color[RGB]{2,112,20}{\bm{E = \frac{\rho_l\cdot m_p\cdot g}{\rho_p}}}

La fuerza resultante es la diferencia entre el peso y el empuje:

\color[RGB]{2,112,20}{\bm{m_p\cdot g - \frac{\rho_l\cdot m_p\cdot g}{\rho_p} = 2\ 500}}

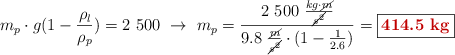
Ahora despejas el valor de la masa de la piedra y la calculas:

m_p\cdot g(1-\frac{\rho_l}{\rho_p})= 2\ 500\ \to\ m_p = \frac{2\ 500\ \frac{kg\cdot \cancel{m}}{\cancel{s^2}}}{9.8\ \frac{\cancel{m}}{\cancel{s^2}}\cdot (1 - \frac{1}{2.6})} = \fbox{\color[RGB]{192,0,0}{\bf 414.5\ kg}}


Descarga el enunciado y la resolución del problema en formato EDICO si lo necesitas.