Densidad lineal de carga de un conductor que atrae un electrón con una aceleración dada (4996)

, por F_y_Q

Un electrón se encuentra a una distancia de 2.0 cm de un alambre muy largo y se acerca a él con una aceleración de 1.5\cdot 10^{13}\ m\cdot s^{-2} . ¿Cuál es la carga por unidad de longitud en el alambre?

K  = 9\cdot 10^9\ N\cdot m^2\cdot C^{-2} ; \left |q_e\right | = 1.6\cdot 10^{-19}\ C ; m_e  = 9.1\cdot 10^{-31}\ kg

P.-S.

El alambre crea un campo eléctrico que puedes obtener aplicando el Teorema de Gauss y en función de la densidad lineal de carga \lambda:

E = \frac{\lambda}{2\pi \epsilon_0 \cdot d}  = \frac{2K\lambda}{d}

La fuerza eléctrica que siente el electrón es el producto de la carga del electrón por el campo con el que interacciona: F_e  = q_e\cdot E. Pero esa fuerza también la puedes poner en función de la aceleración y la masa del electrón: F  = m_e\cdot a:

F_e = q_e\cdot \frac{2K\lambda}{d}\ \to\ m\cdot a  = q_e\cdot \frac{2K\lambda}{d}

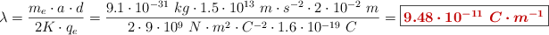
Despejas el valor de \lambda y calculas:

\lambda = \frac{m_e\cdot a\cdot d}{2K\cdot q_e} = \frac{9.1\cdot 10^{-31}\ kg\cdot 1.5\cdot 10^{13}\ m\cdot s^{-2}\cdot 2\cdot 10^{-2}\ m}{2\cdot 9\cdot 10^9\ N\cdot m^2\cdot C^{-2}\cdot 1.6\cdot 10^{-19}\ C} = \fbox{\color[RGB]{192,0,0}{\bm{9.48\cdot 10^{-11}\ C\cdot m^{-1}}}}