Densidad de una esfera de la que se conoce el radio

, por F_y_Q

Calcula la densidad de una esfera cuyo radio es 0.5 m. Considera que el volumen de una esfera es V = \frac{4}{3} \pi\cdot R^3.

P.-S.

Como no nos facilitan el valor de la masa de la esfera tendremos que expresar la densidad en función de ese valor "m". Esto es muy común en los problemas de física.
La densidad se define como el cociente entre la masa y el volumen de un sistema: \rho = \frac{m}{ V}. Si escribimos el volumen de la esfera en función de la ecuación que nos dan en el enunciado:

\rho = \frac{m}{\frac{4}{3} \pi\cdot R^3} = \frac{3m}{4\pi\cdot R^3}

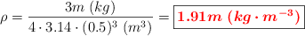
Ahora solo nos queda sustituir por el valor del radio de la esfera:

\rho = \frac{3m\ (kg)}{4\cdot 3.14\cdot (0.5)^3\ (m^3)} = \fbox{\color{red}{\bm{1.91m\ (kg\cdot m^{-3})}}}


Bastaría con saber la masa de la esfera, expresada en kg, para poner el valor en la ecuación obtenida y saber la densidad de la misma.