Convertir centímetros en micrómetros 0001

, por F_y_Q

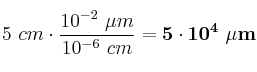
¿A cuántos micrómetros son equivalentes 5,0 cm?

P.-S.

Aplicamos un factor conversión teniendo en cuenta el factor de diez de cada prefijo:

5\ cm\cdot \frac{10^{-2}\ \mu m}{10^{-6}\ cm} = \bf 5\cdot 10^4\ \mu m