Ejercicios FyQ
Inicio
Bachillerato
Chemistry exercises
Exámenes resueltos
INFO
Otros Niveles
Physics exercises
Secundaria
Situaciones de aprendizaje
VÍDEOS
Portada del sitio
Secundaria
F y Q [3.º ESO]
Destrezas científicas básicas (3.º ESO)
Conversión unidades de superficie 0001
Conversión unidades de superficie 0001
Sábado 1ro de agosto de 2015
,
por
F_y_Q
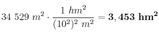
Convierte 34 529
a
.
Secciones
Bachillerato
Chemistry exercises
Exámenes resueltos
INFO
Otros Niveles
Physics exercises
Secundaria
Bilingüismo
F y Q [3.º ESO]
Circuitos eléctricos. Aplicaciones de la corriente eléctrica.
Destrezas científicas básicas (3.º ESO)
Ejercicios de ampliación, refuerzo y repaso (3º ESO)
Electricidad y magnetismo
Elementos y Compuestos. La tabla periódica.
Energía y Trabajo
La Materia (3.º ESO)
Las fuerzas y sus efectos (3.º ESO)
Reacciones Químicas (3.º ESO)
Sustancias puras y mezclas. Disoluciones.
F y Q [4.º ESO]
F y Q [2.º ESO]
Situaciones de aprendizaje
VÍDEOS
Buscar
>>
En la misma sección
Redondeo y cifras significativas (8113)
Peso de un objeto en newton y dinas (7595)
Conversión de unidades y magnitudes (1939)
Cantidad diaria recomendada de magnesio en almendras y anacardos (6918)
Cantidad diaria recomendada de fósforo en cacahuetes (6917)
Masa de nueces para tomar la CDR de magnesio (6919)
Gráfica de un experimento de llenado de una probeta (6866)
Tratamiento de las unidades de volumen en el Sistema Internacional (6865)
Densidad del granito a partir de datos de masa y volumen de varias muestras (6860)
Radio y cantidad de bolas que caben en un depósito (6859)