Conversión de unidades de volumen (3208)

, por F_y_Q

¿A cuántos mililitros equivalen 7 decilitros?

P.-S.

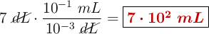
Te propongo un método que, una vez que lo aprendes, te ayuda a no fallar en este tipo de cálculos. Mira la tabla de prefijos de submúltiplos y observa que «mili-» equivale a 10^{-3}, mientras que «deci-» equivale a 10^{-1}. Escribe la cantidad que quieres cambiar y usa un factor de conversión en el que debes colocar las unidades de manera que puedas cancelar la unidad de partida y que te resulte la unidad que deseas. Luego escribe los valores de los prefijos intercambiados. Fíjate en la resolución:

7\ \cancel{dL}\cdot \frac{10^{-1}\ mL}{10^{-3}\ \cancel{dL}} = \fbox{\color[RGB]{192,0,0}{\bm{7\cdot 10^2\ mL}}}


Coloco «dL» en el denominador para cancelarlo con la unidad de partida y «mL» queda en el numerador, siendo la unidad que queda al final. El otro detalle es que he puesto el factor de «dL» junto a «mL» y también he cambiado el factor de «mL» y lo he puesto junto a «dL». De este modo, cuando haces el producto de fracciones el resultado es correcto.