Conversión de unidades de velocidad (5099)

, por F_y_Q

Realiza los siguientes cambios de unidades de velocidad:

a) 15 m/h a km/h.

b) 25 m/s a km/h.

c) 7.25 m/min a m/s.

d) 6.2 m/s a km/min.

P.-S.

Los vamos a hacer usando factores de conversión. Para ello es necesario ver cuántas unidades cambian.

a) Tan solo cambia la unidad de longitud, de m a km, usamos solo un factor de conversión:

15\ \frac{\cancel{m}}{h}\cdot \frac{1\ km}{10^3\cancel{m}} = \fbox{\color[RGB]{192,0,0}{\bm{1.5\cdot 10^{-2}\ \frac{km}{h}}}}


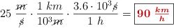
b) Ahora cambian tanto la unidad de longitud, de m a km, como la unidad de tiempo, de s a h:

25\ \frac{\cancel{m}}{\cancel{s}}\cdot \frac{1\ km}{10^3\cancel{m}}\cdot \frac{3.6\cdot 10^3\cancel{s}}{1\ h} = \fbox{\color[RGB]{192,0,0}{\bm{90\ \frac{km}{h}}}}


c) Solo tenemos que usar un factor de conversión para convertir de min a s:

7.25\ \frac{m}{\cancel{min}}\cdot \frac{1\cancel{min}}{60\ s} = \fbox{\color[RGB]{192,0,0}{\bm{0.12\ \frac{m}{s}}}}


d) Ahora usaremos dos factores de conversión para poder realizar la conversión:

6.2\ \frac{\cancel{m}}{\cancel{s}}\cdot \frac{1\ km}{10^3\cancel{m}}\cdot \frac{60\cancel{s}}{1\ min} = \fbox{\color[RGB]{192,0,0}{\bm{0.37\ \frac{km}{min}}}}