Conversión de unidades de longitud y masa (3016)

, por F_y_Q

Realiza las conversiones indicadas y expresa el resultado en notación científica:

a) A metros

1.1 cm

76.2 pm

2.1 km

b) A kilogramos

147 g

7.23 Mg

478 mg

P.-S.

a) A metros.

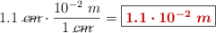
1.1\ \cancel{cm}\cdot \frac{10^{-2}\ m}{1\ \cancel{cm}} = \fbox{\color[RGB]{192,0,0}{\bm{1.1\cdot 10^{-2}\ m}}}

76.2\ \cancel{pm}\cdot \frac{10^{-12}\ m}{1\ \cancel{pm}} = \fbox{\color[RGB]{192,0,0}{\bm{7.62\cdot 10^{-11}\ m}}}

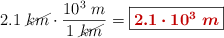
2.1\ \cancel{km}\cdot \frac{10^3\ m}{1\ \cancel{km}} = \fbox{\color[RGB]{192,0,0}{\bm{2.1\cdot 10^3\ m}}}

b) A kilogramos.

147\ \cancel{g}\cdot \frac{1\ kg}{10^3\ \cancel{g}} = \fbox{\color[RGB]{192,0,0}{\bm{1.47\cdot 10^{-1}\ kg}}}

7.23\ \cancel{Mg}\cdot \frac{10^6\ kg}{10^3\ \cancel{Mg}} = \fbox{\color[RGB]{192,0,0}{\bm{7.23\cdot 10^3\ kg}}}

478\ \cancel{mg}\cdot \frac{10^{-3}\ kg}{10^3\ \cancel{mg}} = \fbox{\color[RGB]{192,0,0}{\bm{4.78\cdot 10^{-4}\ kg}}}