Conversión de unidades de longitud usando un factor de conversión (2790)

, por F_y_Q

Expresa en unidades SI el valor de las siguientes medidas:

a) 2.5 km ; b) 2 500 nm ; c) 250 mg ; d) 30 mm

P.-S.

La unidad de longitud en el Sistema Internacional es el metro (m)

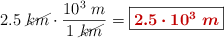
a) 2.5\ \cancel{km}\cdot \frac{10^3\ m}{1\ \cancel{km}} = \fbox{\color[RGB]{192,0,0}{\bm{2.5\cdot 10^3\ m}}}

b) 2\ 500\ \cancel{nm}\cdot \frac{10^{-9}\ m}{1\ \cancel{nm}} = \fbox{\color[RGB]{192,0,0}{\bm{2.5\cdot 10^{-6}\ m}}}

c) 250\ \cancel{mg}\cdot \frac{10^{-3}\ kg}{10^3\ \cancel{mg}} = \fbox{\color[RGB]{192,0,0}{\bm{2.5\cdot 10^{-4}\ kg}}}

d) 30\ \cancel{mm}\cdot \frac{10^{-3}\ m}{1\ \cancel{mm}} = \fbox{\color[RGB]{192,0,0}{\bm{3\cdot 10^{-2}\ m}}}