Conversión de unidades de distintas magnitudes (3079)

, por F_y_Q

Realiza las siguientes conversiones de unidades, con su respectivo procedimiento y usando factores de conversión cuando proceda y expresando el resultado en notación científica:

a) 298 K a ^o C

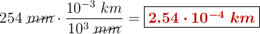
b) 254 mm a km

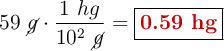
c) 59 g a hg

d) 1.4 mL a L

P.-S.

a) K = ^oC + 273\ \to\ ^o C = K - 273\ \to\ ^o C = (298 - 273)\ K = \fbox{\color[RGB]{192,0,0}{\bm{25\ ^oC}}}

b) 254\ \cancel{mm}\cdot \frac{10^{-3}\ km}{10^3\ \cancel{mm}} = \fbox{\color[RGB]{192,0,0}{\bm{2.54\cdot 10^{-4}\ km}}}

c) 59\ \cancel{g}\cdot \frac{1\ hg}{10^2\ \cancel{g}} = \fbox{\color[RGB]{192,0,0}{\bf 0.59\ hg}}

d) 1.4\ \cancel{mL}\cdot \frac{10^{-3}\ L}{1\ \cancel{mL}} = \fbox{\color[RGB]{192,0,0}{\bm{1.4\cdot 10^{-3}\ L}}}