Conversión de unidad de volumen: de litros a centímetros cúbicos (2935)

, por F_y_Q

Convierte 0.5 L en cm^3

P.-S.

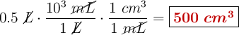
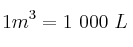
Para hacer esta conversión debes conocer alguna equivalencia entre la escala cúbica y los litros. Por ejemplo, los mL son lo mismo que los cm^3, o los L son lo mismo que los dm^3. Otra equivalencia conocida es que 1m^3 = 1\ 000\ L. A partir de alguna de estas equivalencias:

0.5\ \cancel{L}\cdot \frac{10^3\ \cancel{mL}}{1\ \cancel{L}}\cdot \frac{1\ cm^3}{1\ \cancel{mL}} = \fbox{\color[RGB]{192,0,0}{\bm{500\ cm^3}}}