Conversión de una longitud 0001

, por F_y_Q

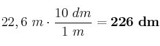
Convierte 22,6 m a dm y luego a km.

P.-S.

En el primer caso "dm" son decímetros y no decámentros, que serían dam. Hay que tener mucho cuidado con este error común:

22,6\ m\cdot \frac{10\ dm}{1\ m} = \bf 226\ dm

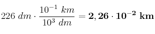
Ahora hacemos el paso a km:

226\ dm\cdot \frac{10^{-1}\ km}{10^3\ dm} = \bf 2,26\cdot 10^{-2}\ km