Conversión de medidas de longitud (4494)

, por F_y_Q

Transforma las siguientes medidas a la unidad de longitud en el Sistema Internacional y expresa el resultado en notación científica: a) 123 hm ; b) 96 800 dm ; c) 43 dam ; d) 12 000 cm.

P.-S.

La unidad de longitud en el Sistema Internacional es el metro (m). Para hacer los cambios de unidades vamos a usar el valor de cada uno de los prefijos, los factores de conversión y la notación científica:

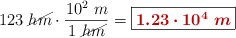
a) 123\ \cancel{hm}\cdot \frac{10^2\ m}{1\ \cancel{hm}} = \fbox{\color[RGB]{192,0,0}{\bm{1.23\cdot 10^4\ m}}}

b) 96\ 800\ \cancel{dm}\cdot \frac{10^{-1}\ m}{1\ \cancel{dm}} = \fbox{\color[RGB]{192,0,0}{\bm{9.68\cdot 10^3\ m}}}

c) 43\ \cancel{dam}\cdot \frac{10\ m}{1\ \cancel{dam}} = \fbox{\color[RGB]{192,0,0}{\bm{4.3\cdot 10^2\ m}}}

d) 12\ 000\ \cancel{cm}\cdot \frac{10^{-2}\ m}{1\ \cancel{cm}} = \fbox{\color[RGB]{192,0,0}{\bm{1.2\cdot 10^2\ m}}}