Conversión de kilogramos a libras 0001

, por F_y_Q

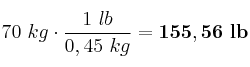
Un señor tiene una masa de 70 kg. ¿A cuántas libras equivale su masa? Considera que 1 lb = 0,45 kg.

P.-S.

Usamos la equivalencia dada en forma de factor de conversión:

70\ kg\cdot \frac{1\ lb}{0,45\ kg} = \bf 155,56\ lb