Conversión de hm a m 0001

, por F_y_Q

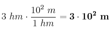
Convierte 3 hm a m usando un factor de conversión.

P.-S.

El prefijo "h" es un múltiplo que equivale a 10^2. Cada vez que veamos ese prefijo en una unidad podemos sustituir el prefijo por su valor. No piden que hagamos el cambio de unidad usando un factor de conversión:

3\ hm\cdot \frac{10^2\ m}{1\ hm} = \bf 3\cdot 10^2\ m