Conversión de gigametros [Gm] a nanometros [nm] (4094)

, por F_y_Q

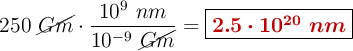
Realiza la conversión de 250 Gm a nm.

P.-S.

Debes usar un factor de conversión en el que aparezcan los valores de los prefijos G (giga) y n (nano):

250\ \cancel{Gm}\cdot \frac{10^9\ nm}{10^{-9}\ \cancel{Gm}} = \fbox{\color[RGB]{192,0,0}{\bm{2.5\cdot 10^{20}\ nm}}}