Conservación de la energía mecánica: velocidad con la que llega un clavadista al agua (2209)

, por F_y_Q

Un clavadista (que es lo mismo que un saltador de trampolín) de 65 kg, se lanza desde un trampolín que está a 8 m sobre la superficie del agua. Calcula la velocidad del clavadista cuando está a 3 m sobre la superficie.

P.-S.

La variación de la energía potencial que sufre el clavadista es:

{\color[RGB]{2,112,20}{\bm{\Delta E_P = m\cdot g\cdot \Deta h}}}\ \to\ \Delta E_P = 65\ kg\cdot 9.8\ \frac{m}{s^2}\cdot (3 - 8)\ m = \color[RGB]{0,112,192}{\bf - 3\ 185\ J}}

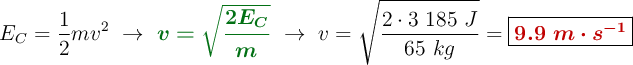
Si no hay rozamiento, la variación de la energía potencial gravitatoria se ha transformado en energía cinética, luego esos 3 185 J serán la energía cinética que tiene cuando está a 3 m del agua.

E_C = \frac{1}{2}mv^2\ \to\ {\color[RGB]{2,112,20}{\bm{v = \sqrt{\frac{2E_C}{m}}}}}\ \to\ v = \sqrt{\frac{2\cdot 3\ 185\ J}{65\ kg}} = \fbox{\color[RGB]{192,0,0}{\bm{9.9\ m\cdot s^{-1}}}}