Conservación de la energía mecánica (440)
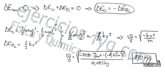
Calcula la velocidad con la que saldrá disparada una flecha de 85 g desde un arco cuya constante de recuperación es
y que ha sido tensado 65 cm.
Calcula la velocidad con la que saldrá disparada una flecha de 85 g desde un arco cuya constante de recuperación es
y que ha sido tensado 65 cm.