Conservación de la energía mecánica 0002

, por F_y_Q

Determina la velocidad máxima que puede alcanzar un carro en una montaña rusa, si éste asciende al punto de máxima altura que tiene un radio de curvatura de 35 m y la masa conjunta del carro y los pasajeros es de 500 kg.

P.-S.

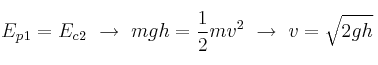
Aplicamos la conservación de la energía mecánica, suponiendo que no hay rozamiento porque el enunciado no dice nada de ello:

E_p_1 = E_c_2\ \to\ mgh = \frac{1}{2}mv^2\ \to\ v = \sqrt{2gh}


Sustituyendo:

v = \sqrt{2\cdot 9,8\ m\cdot s^{-2}\cdot 35\ m} = \bf 26,2\frac{m}{s}