Conducción del calor en una barra de acero con generación interna (8445)

, por F_y_Q

Una barra cilíndrica de acero inoxidable (AISI 304) de 10 cm de diámetro y 50 cm de longitud genera calor internamente a una tasa uniforme de 1\ 000\ kW\cdot m^{-3}. La superficie lateral de la barra está perfectamente aislada térmicamente, y sus dos extremos se mantienen a una temperatura constante de 50\ ^oC mediante un sistema de refrigeración. La conductividad térmica del acero inoxidable (AISI 304) a la temperatura de interés es de 15\ W\cdot (m\cdot K)^{-1}.

Determina:

a) La distribución de temperatura a lo largo de la barra en función de la posición axial.

b) La temperatura máxima en la barra y la ubicación donde se produce.

c) El flujo de calor en cada uno de los extremos de la barra.

P.-S.

a) Como la superficie lateral de la barra está aislada, solo consideras la dirección axial «x». La ecuación de conducción de calor en estado estacionario con generación interna de calor en coordenadas unidimensionales, para el eje axial «x» es:

\color[RGB]{2,112,20}{\bm{\frac{d^2 T}{dx^2} + \frac{\dot{q}}{k} = 0}}

donde «T(x)» es la temperatura en función de la posición axial «x», la tasa de generación de calor por unidad de volumen es \dot{q} = 1\ 000\ kW\cdot m^{-3} = 10^6\ W\cdot m^{-3} y la conductividad térmica del acero es k = 15\ W\cdot (m\cdot K)^{-1}.

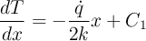
Integras la ecuación diferencial para obtener la distribución de temperatura, lo que puedes hacer en dos pasos.

Primera integración:

\frac{dT}{dx} = -\frac{\dot{q}}{2k} x + C_1

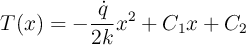
Segunda integración:

T(x) = -\frac{\dot{q}}{2k} x^2 + C_1 x + C_2

Para calcular las constantes de integración C_1 y C_2 debes aplicar las condiciones de contorno del problema:

1. Si x = 0, T(0) = 323 K:

323 = -\frac{\dot{q}}{2k}\cdot 0 + C_1\cdot 0 + C_2\ \to\ \color[RGB]{0,112,192}{\bm{C_2 = 323\ K}}

2. Si x = 0.5 m, T(0.5) = 323 K y sustituyendo también C_2:

0 = -\frac{10^6\ \cancel{W}\cdot \cancel{m^{-3}}\cdot 0.5^2\ \cancel{m^2}}{2\cdot 15\ \cancel{W}\cdot \cancel{m^{-1}}\cdot K^{-1}} + C_1\cdot 0.5\ m\ \to\ \frac{10^5}{12}\ K = C_1\cdot 0.5\ m\ \to\ \color[RGB]{0,112,192}{\bm{C_1 = 1.67\cdot 10^4\ K\cdot m^{-1}}}

Sustituyes los valores de las constantes que has calculado en la ecuación de la segunda integral y tienes la ecuación de la distribución de la temperatura:

\fbox{\color[RGB]{192,0,0}{\bm{T(x) = -3.33\cdot 10^4\cdot x^2 + 1.67\cdot 10^4\cdot x + 323\ \ (K)}}}


b) Para determinar dónde se produce la temperatura máxima debes igualar a cero la derivada de la ecuación que has obtenido:

{\color[RGB]{2,112,20}{\bm{\frac{dT}{dx} = -6.66\cdot 10^4\cdot x + 1.67\cdot 10^4}}} = 0\ \to\ \fbox{\color[RGB]{192,0,0}{\bf x= 0.25\ m}}


La temperatura máxima la obtienes al sustituir por el valor de «x» en la ecuación de la distribución de temperatura:

T_{m\acute{a}x} = -3.33\cdot 10^4\ \frac{K}{\cancel{m^2}}\cdot 0.25^2\ \cancel{m^2} + 1.67\cdot 10^4\ \frac{K}{\cancel{m}}\cdot 0.25\ \cancel{m} + 323\ K = \fbox{\color[RGB]{192,0,0}{\bf 2\ 417\ K}}


c) El flujo de calor se calcula en los extremos lo calculas mediante la ley de Fourier:

\color[RGB]{2,112,20}{\bm{q = -k \cdot A \cdot \frac{dT}{dx}}}

El área de la sección transversal de la barra es:

A = \pi \cdot R^2 = \pi \cdot 0.05^2\ m^2 = \color[RGB]{0,112,192}{\bm{7.83\cdot 10^{-3}\ m^2}}

El flujo de calor para «x = 0» es:

q(0) = -15\ W\cdot \cancel{m^{-1}}\cdot \cancel{K^{-1}}\cdot 1.25\cdot 10^{-3}\pi\ \cancel{m^2}\cdot (-6.66\cdot 10^4)\cdot 0 + 1.67\cdot 10^4\ \cancel{K}\cdot \cancel{m^{-1}} = \fbox{\color[RGB]{192,0,0}{\bf -1\ 961\ W}}


El flujo de calor para «x = 0.5» lo obtienes de manera análoga. Los dos primeros términos son constantes, por lo que puedes escribir el producto de ellos directamente:

q(0.5) = -0.1175\ W\cdot \cancel{m}\cdot \cancel{K^{-1}}\cdot (-6.66\cdot 10^4\cdot 0.5 + 1.67\cdot 10^4)\ \cancel{K}\cdot \cancel{m^{-1}} = \fbox{\color[RGB]{192,0,0}{\bf 1\ 950\ W}}


El flujo de calor en los extremos es el mismo, aunque de signo contrario. La diferencia entre ambos valores es muy pequeñas y se debe a las aproximaciones hechas durante los cálculos.