Concentraciones en equilibrio, Kc y Kp en la reacción de formación del amoniaco (6221)

, por F_y_Q

En un recipiente de 10 L se introducen 1 mol de nitrógeno y 2 mol de hidrógeno, ambos en estado gaseoso, que se calientan hasta 618 K. Una vez que se alcanza el equilibrio, se obtiene una mezcla que ejerce una presión total de 9.48 atm según la reacción:

\ce{N2(g) +3H2(g) -> 2NH3(g)}

Calcula:

a) Las concentraciones de \ce{N2}, \ce{H2} y \ce{NH3} en el equilibrio.

b) La K_C.

c) La K_P.

R = 8.314\ Pa\cdot m^3\cdot mol^{-1}\cdot K^{-1}

P.-S.

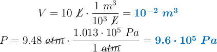
En primer lugar, debes convertir los datos de presión y volumen a unidades SI para que las unidades sean homogéneas (porque el dato de R viene dado en esas unidades).

\left V = 10\ \cancel{L}\cdot \dfrac{1\ m^3}{10^3\ \cancel{L}} = {\color[RGB]{0,112,192}{\bm{10^{-2}\ m^3}}} \atop P = 9.48\ \cancel{atm}\cdot \dfrac{1.013\cdot 10^5\ Pa}{1\ \cancel{atm}} = {\color[RGB]{0,112,192}{\bm{9.6\cdot 10^5\ Pa}}} \right

a) Siguiendo la estequiometría de la reacción, en el equilibrio habrá (1 - x) mol de \ce{H2}, (2 - 3x) mol de \ce{N2} y 2x mol de \ce{NH3 }.
Si sumas todos los moles del equilibrio obtienes:

n_T = 1 - x + 2 - 3x - 2x = \color[RGB]{0,112,192}{\bf 3- 2x}

A partir de la ecuación de los gases ideales calculas el valor de «x»:

{\color[RGB]{2,112,20}{\bm{n_T = \frac{PV}{RT}}}} = \frac{9.6\cdot 10^5\ \cancel{Pa}\cdot 10^{-2}\ \cancel{m^3}}{8.314\ \frac{\cancel{Pa}\cdot \cancel{m^3}}{\cancel{K}\cdot mol}\cdot 618\ \cancel{K}} = {\color[RGB]{0,112,192}{\bf 1.87\ mol}}

Ahora tienes que igualar a los moles totales y despejar «x»:

3 - 2x = 1.87\ \to\ x = \frac{3 - 1.87}{2} = \color[RGB]{0,112,192}{\bf 0.565\ mol}

Ya puedes calcular los moles de cada especie en el equilibrio y, dividiendo por el volumen del reactor, expresado en litros, obtener la concentración molar:

[\ce{N2}] = \frac{(1 - 0.565)\ mol}{10\ L} = \fbox{\color[RGB]{192,0,0}{\bm{4.35\cdot 10^{-2}\ M}}}


[\ce{H2}] = \frac{(2 - 3\cdot 0.565)\ mol}{10\ L} = \fbox{\color[RGB]{192,0,0}{\bm{3.05\cdot 10^{-2}\ M}}}


[\ce{NH3 }] = \frac{(2\cdot 0.565)\ mol}{10\ L} = \fbox{\color[RGB]{192,0,0}{\bm{0.113\ M}}}


b) La constante de equilibrio en función de las concentraciones es:

{\color[RGB]{2,112,20}{\bm{K_C = \frac{[\ce{NH3 }]^2}{[\ce{N2}]\cdot [\ce{H2}]^3}}}} = \frac{0.113^2\ \cancel{mol^2}}{4.35\cdot 10^{-2}\ mol\cdot (3.05\cdot 10^{-2})^3\ mol\cancel{^3}} = \fbox{\color[RGB]{192,0,0}{\bm{1.03\cdot 10^4\ M^{-2}}}}


c) El cálculo de K_P, con las unidades dadas, requiere de que el valor de K_C sea expresado en mol\cdot m^{-3}. La ecuación que relaciona ambas constantes de equilibrio es:

\color[RGB]{2,112,20}{\bm{K_P = K_C(RT)^{-\Delta n}}}

Para que el cálculo sea más claro, se escriben todas las unidades:

K_P = 1.03\cdot 10^4\ \frac{\cancel{L^2}}{\cancel{mol^2}}\cdot \frac{1\ \cancel{m^6}}{10^6\ \cancel{L^2}}\cdot (8.314\cdot 618)^{-2}\ \left(\frac{Pa^{-2}\cdot \cancel{m^{-6}}\cdot \cancel{K^{-2}}}{\cancel{K^{-2}}\cdot \cancel{mol^{-2}}}\right) = \fbox{\color[RGB]{192,0,0}{\bm{3.9\cdot 10^{-10}\ Pa^{-2}}}}