Concentración porcentual en masa de una disolución de AgI

, por F_y_Q

¿Cuál es la concentración porcentual en masa de una disolución elaborada, mezclando 1 gramo de yoduro de plata en 1 metro cúbico de agua?

P.-S.

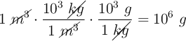
Tomamos como densidad del agua \rho = 10^3\ \textstyle{kg\over m^3}, por lo que vamos a expresar la masa de agua en gramos:
1\ \cancel{m^3}\cdot \frac{10^3\ \cancel{kg}}{1\ \cancel{m^3}}\cdot \frac{10^3\ g}{1\ \cancel{kg}} = 10^6\ g
La masa total de la disolución sería casi idéntica a la del agua, ya que sería un millón y un gramo. Calculamos el porcentaje:

\%\ (\textstyle{m\over m}) = \frac{1\ g\ AgI}{1\ 000\ 001\ g}\cdot 100 = \bf 0,0001\%