Concentración molar de la mezcla de tres disoluciones de distinta concentración

, por F_y_Q

Se mezclaron soluciones de HNO_3 cuyas cantidades y concentraciones son las siguientes:

 500 mL (2 M)

 600 g al 20\% p/p y de d = 1.24 g/mL

 600 mL al 20\% p/v

a) Determina la molaridad de la disolución resultante.

b) Si la disolución resultante se mezcla con 2 litros de solución 1 M, ¿cuál será la nueva molaridad?

P.-S.

Para hacer el problema vamos a ir calculando los moles de HNO_3 que añadimos con cada disolución.

1. Añadimos medio litro de disolución, por lo tanto hay 1 mol de HNO_3 (hay que recordar la definición de molaridad para verlo claro).
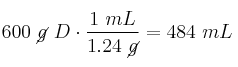
2. Primero vamos a calcular el volumen de disolución que suponen esos 600 g: 600\ \cancel{g}\ D\cdot \frac{1\ mL}{1.24\ \cancel{g}} = 484\ mL (hemos redondeado el resultado).
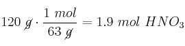
La cantidad de HNO_3 que hay en ese volumen es: 600\ \cancel{g\ D}\cdot \frac{20\ g\ HNO_3}{100\ \cancel{g\ D}} = 120\ g\ HNO_3
Y esa masa equivale a 120\ \cancel{g}\cdot \frac{1\ mol}{63\ \cancel{g}} = 1.9\ mol\ HNO_3
3. En esta disolución hay 20 g de HNO_3 por cada 100 mL de disolución, por lo tanto hay 120 g de HNO_3, que equivalen a otros 1.9 mol de HNO_3.
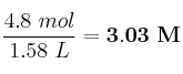
Ahora sólo tenemos que sumar los moles: (1 + 1.9 + 1.9) = 4.8 mol de HNO_3 y si suponemos que los volúmenes son aditivos: (500 + 484 + 600) = 1 584 mL (que son 1.58 L).
Hacemos el cociente entre los moles de soluto y el volumen de disolución para calcular la molaridad:

\frac{4.8\ mol}{1.58\ L} = \bf 3.03\ M


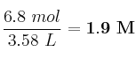
El segundo apartado lo podemos hacer con menos detalles porque creo que se entenderá bien. El volumen final será ahora 3.58 L y el número de moles de HNO_3 será 6.8 mol:

\frac{6.8\ mol}{3.58\ L} = \bf 1.9\ M