Concentración molar 0002

, por F_y_Q

Indica la cantidad de gramos de soluto (NaOH), presentes en una disolución de 5 litros de concentración 0,2 M.

P.-S.

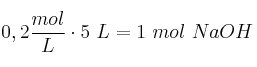
0,2 M quiere decir que la disolución contiene 0,2 mol de soluto (NaOH) en cada litro de disolución. Si consideramos 5 L, tendremos 0,2\frac{mol}{L}\cdot 5\ L = 1\ mol\ NaOH.
La masa molecular del NaOH es 23 + 16 + 1 = 40 g/mol. Eso quiere decir que los 5 L de disolución, que contienen 1 mol de NaOH, contienen 40 g de NaOH.