Concentración molar 0001

, por F_y_Q

Calcula la molaridad de una disolución que se obtiene disolviendo 25 g de KCl en 225 g H_2O sabiendo la densidad de disolución que es de 2,1 g/mL.

P.-S.

Para hacer el problema debes calcular:
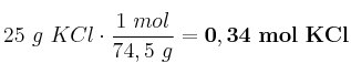
1. Los moles de soluto (que es el KCl). Teniendo en cuenta que la masa atómica del K = 39 y la del Cl = 35.5, podemos hacer la masa molecular del KCl: 39 + 35,5 = 74,5 g/mol. Con este dato hacemos el cálculo de los moles:

25\ g\ KCl\cdot \frac{1\ mol}{74,5\ g} = \bf 0,34\ mol\ KCl


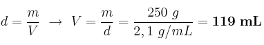
2. Teniendo en cuenta la densidad de la disolución podremos calcular el volumen de ésta. Para ello debemos sumar las masas de soluto y disolvente: 25 g + 225 g = 250 g de disolución. Ahora calculamos el volumen:

d = \frac{m}{V}\ \to\ V = \frac{m}{d} = \frac{250\ g}{2,1\ g/mL} = \bf 119\ mL


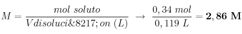
3. Por último sólo nos queda aplicar la definición de molaridad para hacer el cálculo:

M = \frac{mol\ soluto}{V disoluci\’on\ (L)}\ \to\ \frac{0,34\ mol}{0,119\ L} = \bf 2,86\ M