Concentración g/L a partir de dato de molaridad 0001

, por F_y_Q

¿Qué masa de soluto, por unidad de volumen, será necesaria para preparar las disoluciones:
a) 1 M de NH_3.
b) 0,05 M de (NH_4)_2S.

P.-S.

La molaridad se define como los moles de soluto dividido por el volumen de la disolución, expresado en litros. Si expresamos los moles de soluto en función de la masa de éste y su masa molecular, podemos despejar la relación entre masa y volumen:

M = \frac{n}{V}\ \to\ M = \frac{m}{M_m\cdot V}\ \to\ \frac{m}{V} = \frac{M}{M_m}
Ahora podemos aplicar esta expresión a cada caso:
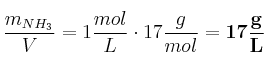
a)

\frac{m_{NH_3}}{V} = 1\frac{mol}{L}\cdot 17\frac{g}{mol} = \bf 17\frac{g}{L}


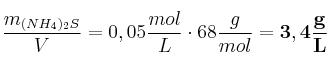
b)

\frac{m_{(NH_4)_2S}}{V} = 0,05\frac{mol}{L}\cdot 68\frac{g}{mol} = \bf 3,4\frac{g}{L}