Concentración en porcentaje (m/V) y molaridad de una dilución

, por F_y_Q

¿Cuál es la molaridad de una disolución que se obtuvo mezclando 200 mL de disolución al 5\% (m/V) de hipoclorito de sodio (NaClO) y suficiente agua para completar 20 L?

Masas atómicas: Na = 23 ; Cl = 35.5 ; O = 16

a) 0.671 M

b) 0.134 M

c) 6.71\cdot 10^{-3}\ M

d) 6.,71\cdot 10^{-4}\ M

P.-S.

La respuesta correcta es c). Veamos por qué:
El porcentaje (m/V) implica gramos de soluto por cada 100 mL de disolución:

200\ \cancel{mL\ D}\cdot \frac{5\ g\ NaClO}{100\ \cancel{mL\ D}} = 10\ g\ NaClO


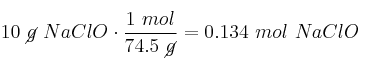
Ahora convertimos la masa de soluto en moles. La masa molecular de hipoclorito de sodio es: 1·23 + 1·35,5 + 1·16 = 74.5 g/mol

10\ \cancel{g}\ NaClO\cdot \frac{1\ mol}{74.5\ \cancel{g}} = 0.134\ mol\ NaClO


Como el volumen final de la disolución es 20 L, debemos dividir por 20 porque la molaridad está referida a un litro de disolución:

\frac{0.134\ mol}{20\ L} = \bf 6.71\cdot 10^{-3}\ M