Concentración en partes por millón de oro en una muestra de agua (6004)

, por F_y_Q

Una muestra de agua de 2 litros contiene 2.58\cdot 10^{-4}\ mol de oro. ¿Cuál será la concentración de oro en ppm? (Au = 197 u).

P.-S.

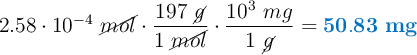
En primer lugar, calculas la masa de oro, expresada en mg:

2.58\cdot 10^{-4}\ \cancel{mol}\cdot \frac{197\ \cancel{g}}{1\ \cancel{mol}}\cdot \frac{10^3\ mg}{1\ \cancel{g}} = \color[RGB]{0,112,192}{\bf 50.83\ mg}

La concentración pedida es:

c\ (ppm) = \frac{50.83\ mg}{2\ L} = \fbox{\color[RGB]{192,0,0}{\bf 25.4\ ppm}}