Concentración en microgramos por metro cúbico de amoniaco en aire

, por F_y_Q

En un centro poblado se encuentra que la concentración de NH_3, a 1 atm y 20^oC, es de 369 ppb (V). Expresa dicha concentración en \textstyle{\mu g\over m^3}.

Datos: M_{NH_3} = 17\ \textstyle{g\over mol} ; R = 0.082\ \textstyle{atm\cdot L\over K\cdot mol}.

P.-S.

Si consideramos 1\ m^3 de aire, el volumen de NH_3 que encontramos es 369\ \mu L según nos dice el dato de la concentración en partes por billón (ppb) en volumen. Convertimos este volumen en masa para poder expresar la concentración como nos indican, y lo hacemos a partir de la ecuación de los gases.
Hay que tener cuidado con la unidades porque la constante R es la que indica en qué unidades tenemos que trabajar:
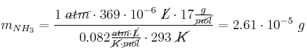
PV = nRT\ \to\ PV = \frac{m}{M}RT\ \to\ m_{NH_3} = \frac{PVM}{RT}
Sustituimos los datos en las unidades correctas:
m_{NH_3} = \frac{1\ \cancel{atm}\cdot 369\cdot 10^{-6}\ \cancel{L}\cdot 17\frac{g}{\cancel{mol}}}{0.082\frac{\cancel{atm}\cdot \cancel{L}}{\cancel{K}\cdot \cancel{mol}}\cdot 293\ \cancel{K}} = 2.61\cdot 10^{-5}\ g
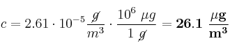
Debemos convertir la masa obtenida a \mu g para poder expresar la concentración como nos indican:

c = 2.61\cdot 10^{-5}\frac{\cancel{g}}{m^3}\cdot \frac{10^6\ \mu g}{1\ \cancel{g}} = \bf 26.1\ \frac{\mu g}{m^3}