Comparando velocidades 0001

, por F_y_Q

¿Qué es más rápido un caballo de carreras a 8,5 m/s o un automóvil a 80 km/h?

P.-S.

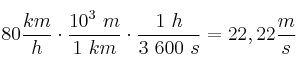
Ambas velocidades han de estar expresadas en la misma unidad para poder ser comparadas. Vamos a expresar ambas en m/s:

80\frac{km}{h}\cdot \frac{10^3\ m}{1\ km}\cdot \frac{1\ h}{3\ 600\ s} = 22,22\frac{m}{s}


Por lo tanto, será más rápido el auto.