Comparación del número de Avogadro (3019)

, por F_y_Q

¿Cuántos kilómetros, de un cerco de 3 m de altura, se pueden construir con el número de Avogadro de ladrillos, sabiendo que cada m^2 de pared requiere 33 ladrillos?

P.-S.

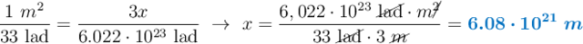
Empiezas haciendo la proporción entre los ladrillos por metro cuadrado y el total de los ladrillos. Llamas «x» a la longitud del cerco:

\frac{1\ m^2}{33\ \text{lad}} = \frac{3x}{6.022\cdot 10^{23}\ \text{lad}}\ \to\ x = \frac{6,022\cdot 10^{23}\ \cancel{\text{lad}}\cdot m\cancel{^2}}{33\ \cancel{\text{lad}}\cdot 3\ \cancel{m}} = \color[RGB]{0,112,192}{\bm{6.08\cdot 10^{21}\ m}}

Solo queda expresar el resultado en kilómetros:

6.08\cdot 10^{21}\ \cancel{m}\cdot \frac{1\ km}{10^3\ \cancel{m}} = \fbox{\color[RGB]{192,0,0}{\bm{6.08\cdot 10^{18}\ km}}}