Carga que crea un campo y carga que se traslada dentro de ese campo (6906)

, por F_y_Q

El campo electrostático creado por una carga puntual q situada en el origen de coordenadas, viene dado por la expresión:

\vec E = K\cdot \frac{9}{r^2}\cdot \vec u_r\ (N\cdot C^{-1})

donde r se expresa en metros y \vec u_r es un vector unitario dirigido en la dirección radial. Si el trabajo realizado para llevar una carga q^{\prime} desde un punto A a otro B que distan del origen 5 y 10 m respectivamente, es de -9\cdot 10^{-6}\ J, determina:

a) El valor de la carga puntual q que está situada en el origen de coordenadas.

b) El valor de la carga q^{\prime} que se ha transportado desde A hasta B.

Dato: K  = 9\cdot 10^9\ N\cdot m^2\cdot C^{-2}

P.-S.

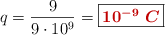
a) La manera de obtener el valor de la carga será comparando la ley de Coulomb con el valor del campo que indica el enunciado. Si haces esa comparación:

\vec E = K\cdot \frac{q}{r^2}\cdot \vec u_r
\vec E = \frac{9}{r^2}\cdot \vec u_r

Si divides una expresión entre la otra verás que obtienes que K\cdot q = 9 :

q = \frac{9}{9\cdot 10^9} = \fbox{\color[RGB]{192,0,0}{\bm{10^{-9}\ C}}}


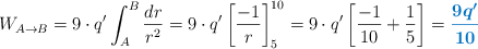
b) El trabajo para trasladar la carga del punto A al punto B es:

W_{A\to B} = E\cdot q^{\prime}\cdot r

Debes tener en cuenta que el valor del campo varía con la distancia (r) por lo que debes integrar la ecuación anterior:

W_{A\to B}  =\int_A^B E\cdot q^{\prime}\cdot dr = \int_A^B \frac{9}{r^2}\cdot q^{\prime}\cdot dr

Sacas fuera de la integral las constantes e integras el resto:

W_{A\to B} = 9\cdot q^{\prime}\int_A^B \frac{dr}{r^2} = 9\cdot q^{\prime} \left[\frac{-1}{r}\right]_5^{10} = 9\cdot q^{\prime}\left[\frac{-1}{10} + \frac{1}{5}\right] = \color[RGB]{0,112,192}{\bm{\frac{9q^{\prime}}{10}}}

Como conoces el valor del trabajo solo tienes que sustituir y despejar la carga:

-\cancel{9}\cdot 10^{-6} = \frac{\cancel{9}}{10}\cdot q^{\prime}\ \to\ \fbox{\color[RGB]{192,0,0}{\bm{q^{\prime} = -10^{-5}\ C}}}