Cantidad de soluto para hacer una disolución molar 0002

, por F_y_Q

¿Qué masa de (NH_4)_2SO_4 se necesita para preparar 400 mL de disolución 0,25 M?

Masas atómicas: H = 1 ; N = 14 ; S = 32 ; O = 16

P.-S.

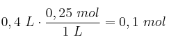
Para hacer la disolución necesitaremos:
0,4\ L\cdot \frac{0,25\ mol}{1\ L} = 0,1\ mol
La masa molecular del sulfato de amonio es: (1·14 + 4·1)·2 + 1·32 + 4·16 = 132 g/mol.
Convertimos los moles necesarios en masa:

0,1\ mol\cdot \frac{132\ g\ (NH_4)_2SO_4}{1\ mol} = \bf 13,2\ g\ (NH_4)_2SO_4