P.-S.
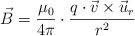
La ecuación que permite calcular el campo magnético creado por una carga puntual en movimiento es:
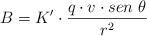
La puedes escribir en forma de módulo y luego analizar la dirección y sentido del campo en cada uno de los puntos considerados. La ecuación para el módulo del campo magnético, escrito en función de la constante dada, es:

Como puedes ver, el valor del campo en cada punto va a depender del ángulo que consideras con respecto a la velocidad del electrón en cada posición. Esto quiere decir que puedes hacer un cálculo común para las tres situaciones y luego adaptarlo a cada punto:
Campo magnético en A.
Observa que el ángulo que forma El vector de posición de A con la velocidad es de

, con lo que el módulo del campo magnético será:
Recuerda que el campo magnético es un vector. Es perpendicular al plano formado por la velocidad y el vector que une el origen con el punto A. Su sentido viene dado por la regla de la mano derecha, haciendo

sobre

pero, y esto es muy importante,
como la carga es negativa debes cambiar el sentido que obtienes al aplicar la regla. El vector que resulta es:
![\fbox{\color[RGB]{192,0,0}{\bm{\vec {B}_A = 6\cdot 10^{-8}\ \vec k}}} \fbox{\color[RGB]{192,0,0}{\bm{\vec {B}_A = 6\cdot 10^{-8}\ \vec k}}}](local/cache-vignettes/L133xH28/c02753b08be29cdeac722cc5056a90ba-04ee0.png?1733004835)
(
Estoy asumiendo que el plano de la imagen es XY y que el sentido hacia fuera del plano es positivo).
Campo magnético en C.
Ahora forman un ángulo de

con lo que el campo magnético es máximo (ya que

). El vector que resulta es:
![\fbox{\color[RGB]{192,0,0}{\bm{\vec {B}_C = 1.2\cdot 10^{-7}\ \vec k}}} \fbox{\color[RGB]{192,0,0}{\bm{\vec {B}_C = 1.2\cdot 10^{-7}\ \vec k}}}](local/cache-vignettes/L148xH28/765be53af4bc8073e5fab5c5accab152-f40cf.png?1733004835)
Campo magnético en B.
Ahora forman un ángulo de

con lo que el vector que resulta es:
![\fbox{\color[RGB]{192,0,0}{\bm{\vec {B}_B = 6\cdot 10^{-8}\ \vec k}}} \fbox{\color[RGB]{192,0,0}{\bm{\vec {B}_B = 6\cdot 10^{-8}\ \vec k}}}](local/cache-vignettes/L134xH28/9e954b434e3d31da15a39ff3ccc7105c-24076.png?1733004835)