Campo eléctrico debido a un plano y una carga puntual y distancia para que sea nulo (7141)

, por F_y_Q

Considere el sistema dado por un plano infinito uniformemente cargado y una partícula con una carga \sigma = 4.0\cdot 10^{-9}\ C . Si el campo eléctrico resultante en el punto P es vertical hacia abajo y tiene módulo de 2.8\cdot 10^4\ \textstyle{N\over C :

a) Determina el campo eléctrico generado por el plano y su densidad superficial de carga.

b) Determina la posición donde el campo eléctrico resultante es nulo.

Dato: \varepsilon_0 = 8.85\cdot 10^{-12}\ \textstyle{C^2\over N\cdot m^2 ; K = 9\cdot 10^9 \ \textstyle{N\cdot m^2\over c^2}

P.-S.

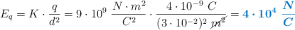
Como la carga q es positiva, el campo debido a ella, en el punto P, tiene componente (-\vec j) , al igual que el campo resultante. La componente del campo generado por el plano ha de ser (\vec j) para que la segunda cuestión del problema tenga sentido. El campo debido a la carga, en el punto P es:

E_q = K\cdot \frac{q}{d^2} = 9\cdot 10^9\ \frac{N\cdot m^2}{C^2}\cdot \frac{4\cdot 10^{-9}\ C}{(3\cdot 10^{-2})^2\ \cancel{m^2}} = \color[RGB]{0,112,192}{\bm{4\cdot 10^4\ \frac{N}{C}}}

a) La suma de los campos de la carga y el plano será igual al campo total:

\vec E_T = \vec E_q + \vec E_p\ \to\ \color[RGB]{2,112,20}{\bm{\vec{E}_p = \vec{E}_T - \vec{E}_q}}

E_p = (-2.8\cdot 10^4 + 4\cdot 10^4)\ \frac{N}{C} = \fbox{\color[RGB]{192,0,0}{\bm{1.2\cdot 10^4\ \frac{N}{C}}}}


La densidad superficial de carga la puedes obtener a partir de la ecuación:

E_p = \frac{\sigma}{2\varepsilon_0}\ \to\ \sigma = 2E_p\cdot \varepsilon_0 = 2\cdot 1.2\cdot 10^4\ \frac{\cancel{N}}{\cancel{C}}\cdot 8.85\cdot 10^{-12}\ \frac{C\cancel{^2}}{\cancel{N}\cdot m^2} = \fbox{\color[RGB]{192,0,0}{\bm{2.1\cdot 10^{-7}\ \frac{C}{m^2}}}}


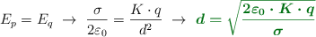
b) El campo eléctrico debido al campo, como puedes ver en la fórmula empleada en el apartado anterior, no depende de la distancia al plano. Basta con que iguales los módulo de los campos debido al plano y a la carga para saber a qué distancia será nulo:

E_p = E_q\ \to\ \frac{\sigma}{2\varepsilon_0} = \frac{K\cdot q}{d^2}\ \to\ \color[RGB]{2,112,20}{\bm{d = \sqrt{\frac{2\varepsilon_0\cdot K\cdot q}{\sigma}}}}
Sustituyendo puedes obtener el valor de la distancia:

d = \sqrt{\frac{2\cdot 8.85\cdot 10^{-12}\ \frac{\cancel{C^2}}{\cancel{N}\cdot \cancel{m^2}}\cdot 9\cdot 10^9\ \frac{\cancel{N}\cdot \cancel{m^2}}{\cancel{C^2}}\cdot 4\cdot 10^{-9}\ \cancel{C}}{2.1\cdot 10^{-7}\ \frac{\cancel{C}}{m^2}}} = \fbox{\color[RGB]{192,0,0}{\bm{5.5\cdot 10^{-2}\ m}}}