Cambios de unidades para un movimiento acelerado

, por F_y_Q

Un buque ha recorrido una distancia de 3 hm desde el reposo y con un promedio de aceleración de 700\ \textstyle{dm\over h^2} . ¿Qué tiempo ha transcurrido en dicho recorrido?

P.-S.

Lo más acertado en este ejercicio es convertir las distancias a metros para poder hacer el cálculo:

3\ \cancel{hm}\cdot \frac{10^2\ m}{1\ \cancel{hm}} = 3\cdot 10^2\ m

Puedes hacer lo mismo con la aceleración o sustituir el valor del prefijo deci- para obtener la conversión de modo directo:

700\cdot 10^{-1}\ \frac{m}{h^2} = 70\ \frac{m}{h^2}

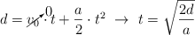
La ecuación que aplicas para poder hacer el cálculo del tiempo es:

d = \cancelto{0}{v_0}\cdot t + \frac{a}{2}\cdot t^2\ \to\ t = \sqrt{\frac{2d}{a}}

t = \sqrt{\frac{2\cdot 300\ \cancel{m}}{70\ \frac{\cancel{m}}{h^2}}} = \fbox{\color[RGB]{192,0,0}{\bf 2.93\ h}}